跳至主要內容

"我們偵測到您是從 {0} 造訪。是否要切換語言,以取得量身打造的內容?"

我們致力於解決製程強化與負載能力的挑戰

蛋白質純化對下游製程具有深遠影響,特別是在從實驗室到量產的過程中,如何在強化製程的同時實現高負載容量,始終是一大挑戰。舒萬諾的 3M™ Polisher ST 創新解決方案,結合 Q 功能化陰離子交換不織布與胍功能團膜層 (guanidinium),能高效去除病毒及宿主細胞蛋白 (HCP)。3M™ Polisher ST 可應用於廣泛的操作條件下,幫助您以更少的資源達成更多目標。此外,該產品易於試用,我們的專業團隊將協助您優化製程,解決生產中的各種挑戰。

穿著無塵室服裝的男子將產品裝入支架中

簡單、省時且具成本效益的純化解決方案

3M™ Polisher ST 可取代下游製程中的多個步驟

3M™ Polisher ST專利技術,透過提升單株抗體(mAb)回收率、有效清除病毒及宿主細胞蛋白(HCP),取代多個傳統過濾步驟,助您簡化製程。我們遍布全球的專業團隊可協助您挑選最適合的產品,將純化與雜質去除壓縮為單一步驟,幫助您節省時間與成本,全面提升製程效率。

一位科學家手持兩個試管,而另一位則指著其中的內容。

更快邁向全面量產

藉由提升下游製程 (DSP) 效率,3M™ Polisher ST 助您將創新構想快速轉化為全面量產。3M™ Polisher ST 是一款多機制膜吸附產品,結合兩種相輔相成的 AEX 功能化濾材,顯著提升層析純化效能,實現高產品回收率、高純度,同時提供具成本效益的解決方案。除適用於量產規模的設計外,亦提供實驗室測試規格,為您提供靈活且全面的解決方案。

一位科學家手持兩個試管,另一位則指著試管內的內容物。

提升製程產量與純度

3M™ Polisher ST 凝聚我們多年來在層析膜技術製造領域的專業知識與經驗。透過強化病毒移除能力、提升單株抗體(mAb)回收率以及顯著降低宿主細胞蛋白(HCP)含量,3M™ Polisher ST 為您的製程帶來卓越的效能革新,助您實現更高效的生產目標。

HCP 減少與 mAb 回收的輪廓圖

助您實現效率與永續發展目標的專屬解決方案

提升每批次產量,讓您能以更少的批次數量達成目標,或在相同批次數量下提高產能,同時有效降低成本。根據一項案例研究顯示,單獨使用3M™ Polisher ST 預計可將年度產量提升12%,並降低銷售成本 13%。此外,生產設施的能源使用量可減少3%,能源強度亦能降低13%。
 
提升製程效能,不僅能減少佔地面積與能源消耗,還能有效降低溫室氣體排放量。僅使用 3M™ Polisher ST 即可顯著降低能源使用。
 
若進一步搭配舒萬諾的其他解決方案,更能全面提升效能,實現更大的節能潛力與環境效益。

生物加工技術員設置試驗規模的產品容器和膠囊

AEX科技

突破傳統四級銨鹽(Q)功能化濾材的限制,重新定義您的下游精緻純化作業。3M™ Polisher ST結合了兩種相輔相成的AEX功能化濾材,為您下游的精緻純化作業提供更大的處理容量、更高的純度,以及更卓越的產品回收率。

AEX功能化濾膜

藉由在濾膜上共價鍵結胍基功能聚合物 (guanidinium-functional polymer),形成三層AEX功能化濾膜,並搭配底層孔徑為0.8 µm的濾材,此創新設計可顯著提升病毒去除效能,並有效降低宿主細胞蛋白(HCP)的含量,為您的製程提供卓越且穩定的過濾表現。

薄膜的顯微鏡圖像

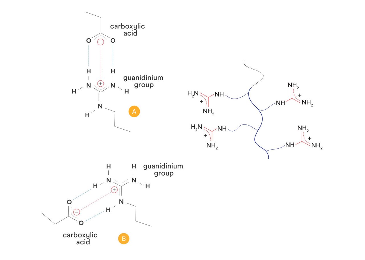
創新胍配位基 (guanidinium ligand)

此創新胍配位基模擬了帶正電的胺基酸—精氨酸 (Arginine),使其能透過靜電作用與雙氫鍵的方式,與帶負電的雜質進行穩定相互作用。藉由高密度配位基的設計,此技術可提供比傳統層析樹脂高出 50-100 倍的單株抗體 (mAb) 負載容量,顯著提升製程效率並簡化操作流程。

行藝術插圖的buanidinium配體

單株抗體回收率

3M™ Polisher ST 提供高效穩健的單株抗體(mAb)回收能力,即使在單價或多價緩衝液中,也能穩定達到超過95%的回收率。對於pH值(5.0至7.5)和導電度(低於5.0mS/cm至20mS/cm)的變化,亦展現出卓越的耐受性,助您實現更靈活穩定的製程效能。

長條圖顯示單價和多價緩衝液中的% mAb回收率

降低宿主細胞蛋白 (HCP)

3M™ Polisher ST 擁有高抗體負載容量(10 kg/m²),而停留時間僅為傳統Q樹脂的五分之一。測試結果顯示,在含約500 ppm宿主細胞蛋白(HCP)的VIN單株抗體池中,3M™ Polisher ST 在磷酸鹽緩衝液(PBS)中可達到超過60%的HCP去除率,而在檸檬酸緩衝液(citrate buffer)中則達到超過22%的去除率,展現卓越純化效能。

條形圖顯示單價和多價緩衝液中HCP減少情況

病毒去除效能

在製程條件為導電度5-20mS/cm、pH值5.5-7.5的範圍內,使用3M™ Polisher ST可實現 4-7 LRV的去除效能。針對XMuLV、Reo-3和PrV病毒,可達到超過6 LRV的去除率,而對於MVM病毒則可達到超過4 LRV的去除率,展現出卓越的病毒去除能力。

長條圖顯示BSA DBC在10%突破點

可擴展性

3M™ Polisher ST 協助您的創新從實驗室邁向市場。該產品提供多種規格,從實驗室小量測試到商業化量產,均能滿足需求,目標單株抗體(mAb)負載容量範圍從1克到1公斤不等。在不同尺寸的產品中,每單位面積的牛血清白蛋白(BSA)動態結合容量(DBC)始終保持穩定,展現卓越的一致性與性能,助您輕鬆應對各種製程需求。

長條圖顯示BSA DBC在10%突破點

School of Purification:學習從今天開始

由我們全球專業團隊開發,專注於生物製藥分離過濾創新技術的School of Purification,將成為您和您的團隊快速成長的學習平台。這些免費的網絡研討會和隨選學習資源,涵蓋了克服瓶頸、優化效率、當前趨勢以及未來的可能性等主題。

一位在家工作的微笑女士照片

探索3M™ Polisher ST常見問題

可以!3M™ Polisher ST 經驗證,具備從實驗室到商業量產規模的高穩定性與可擴展性,顯示單次使用層析裝置能有效取代大型、多次使用的層析柱,不僅節省空間,還能減少緩衝液的使用量,大幅提升製程效率與靈活性。

可以!與傳統 Q 化學技術相比,3M™ Polisher ST 採用的創新陰離子交換功能,如胍基(guanidinium)及一定程度的伯胺(primary amines),能在更廣泛的操作條件下有效去除難以處理的宿主細胞蛋白 (HCPs),為您的製程提供更靈活且高效的解決方案。

3M™ Polisher ST 具備更小的佔地需求及較低的緩衝液使用量,同時提供更高的負載容量,且無需進行層析柱的填裝、重新填裝或驗證,大幅簡化製程並顯著提升操作效率。

可以!3M™ Polisher ST 亦可作為病毒去除技術平台的一環,提供有效的病毒去除功能。在pH 5.5-7.5和5-20mS/cm 的製程條件下,3M™ Polisher ST可達4-7的病毒去除率(LRV)。其病毒去除效能與設備形式無關,例如傳統AEX層析柱與3M™ Polisher ST 的性能相當。效能的關鍵取決於功能性配位基、進樣液特性及製程條件的搭配。

探索更多

了解更多產品資訊

探索我們為您提供的全方位解決方案。

領先業界的產業新訊

探索我們的專業資源庫,包含同行評審的文章、技術文件、手冊以及我們專業團隊針對行業相關趨勢與議題所開發的資源。

還有疑問嗎?

我們的技術支援團隊隨時為您提供幫助!

關注我們

隨時掌握我們最新產品與研討會資訊。

諮詢Solventum應用專家

TW-Inline-TY

謝謝您!

您的表格已成功提交!Solventum 的代表將會與您聯繫。

一个抽象渲染,显示覆盖框架的四层绿色卷曲图案。